脂肪測定儀用于咖啡中粗脂肪的提取及含量測定
1 前言
如今,隨著生活質量的不斷提高,人們開發出了各式各樣的飲料產品,但也有一些假冒偽劣產品充斥其中,因此為了評判咖啡的品質,通常情況下人們通過測試咖啡中脂肪的含量多少來進行評估。綜合以上情況,我們通過使用海能儀器股份有限公司生產的SOX406脂肪測定儀進行實驗,所得結果如下。
2 實驗部分
2.1樣品制備
精確秤取咖啡樣品2.000克,在105度干燥至恒重。
2.2實驗方法
2.2.1 將溶劑接收杯清洗干凈,在干燥箱烘至恒重。
準備沸程30-60℃的石油醚500ml以上
2.2.2 將烘干恒重后溶劑杯自然冷卻然后稱取重量并記錄,稱取干燥樣品2g放進濾紙筒內(濾紙筒頂部放入適量脫脂棉),可做五個樣品,一個樣品空白,以確保測試準確度。
2.2.3 將樣品緩慢放入儀器萃取室中,并保證回流液恰好滴落在濾紙筒內,設置為SOX406索氏標準萃取模式。萃取室可加入80ml左右石油醚(石油醚添加量以漫過樣品為標準)并擰緊上蓋,防止溶劑泄漏。
萃取溫度設置80℃
萃取時間6h,
預干燥時間30分鐘以上
(實驗過程請保證冷卻水正常流通,溶劑杯放置準確 并確保不漏液)
2.2.4 試驗結束后待儀器上溶劑杯冷卻后,取下放置烘箱80左右°烘干30min,放置于干燥器內冷卻,后迅速稱取總重
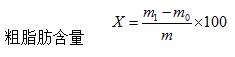
2.3 計算
粗脂肪含量

式中:
X————樣品中粗脂肪的含量(g/100g);
m1————溶劑杯和粗脂肪的質量(g);
m0————干燥溶劑杯質量(g);
m———— 樣品質量
