脂肪測定儀測定油菜籽中脂肪含量
1引言
油菜籽,也稱為蕓臺子,是草本十字花科作物,是中國主要油料作物之一。其中油脂含量為37.5%~46.3%。人體對菜籽油的吸收率很高,可達99%。其中所含的亞油酸等不飽和脂肪酸和維生素E等營養成分被機體很好地吸收,起到一定軟化血管、延緩衰老的功效。
2實驗部分
2.1實驗儀器及試劑
SOX406脂肪測定儀(濟南海能儀器股份有限公司);分析天平;鼓風干燥箱;旋風磨;干燥器;100mL量筒。
實驗用水應符合GB/T6682中三級用水的規格,使用試劑除特殊說明外,均為分析純。
海砂;石油醚(60~90℃);濾紙;脫脂棉。
2.2實驗步驟
1.儀器準備:請參照說明書,清洗溶劑杯,干燥并稱重記為m0。
2.取樣:將樣品在旋風磨中粉碎;精確稱取樣品約1g左右(記為m),放入帶有海砂的濾紙筒內,并覆蓋上一層脫脂棉。
3.萃取:加入抽提溶劑50mL,打開冷凝水,啟動脂肪測定儀。設置回流時間2.5h、萃取溫度95℃,進行萃取。預干燥15min。
4.計算結果:抽提完成后,烘干溶劑杯至恒重,記為m1。
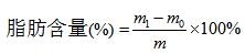
增重法計算脂肪含量:
其中,m1──溶劑杯和粗脂肪質量,g;
m0──溶劑杯質量,g;
m ──試樣質量,g;
計算得出實驗結果。
3結果分析
4注意事項
注意石油醚的揮發及易燃性,實驗過程中應及時注意通風,防止石油醚對人體造成傷害。
