脂肪測定儀測定口服液中粗脂肪含量
1 前言
如今,隨著生活質量的不斷提高,人們開發出了各式各樣的營養品口服液產品,但也有一些假冒偽劣產品充斥其中,因此為了評判口服液的品質,通常情況下人們通過測試口服液中脂肪的含量多少來進行評估。綜合以上情況,我們通過使用海能儀器股份有限公司生產的SOX500脂肪測定儀進行實驗,所得結果如下。
2 樣品制備
精確秤取口服液樣品5-10克,加海砂在蒸發皿中蒸干。在105度干燥至恒重。
3 實驗方法
3.1 將溶劑接收杯清洗干凈,在干燥箱烘至恒重。
準備沸程30-60℃的石油醚500ml以上
3.2 將烘干恒重后溶劑杯自然冷卻然后稱取重量并記錄,稱取干燥樣品5g放進濾紙筒內(濾紙筒頂部放入適量脫脂棉),可做五個樣品,一個樣品空白,以確保測試準確度。
3.3 將樣品緩慢放入儀器萃取室中,并保證回流液恰好滴落在濾紙筒內,設置為SOX500索氏標準萃取模式。萃取室可加入80ml左右石油醚(石油醚添加量以漫過樣品為標準)并擰緊上蓋,防止溶劑泄漏。萃取溫度設置80℃
萃取時間6h,預干燥時間30分鐘以上
(實驗過程請保證冷卻水正常流通,特氟龍溶劑杯放置準確 并確保不漏氣)
3.4 試驗結束后待儀器上溶劑杯冷卻后,取下放置烘箱80左右°烘干30min,放置于干燥器內冷卻,后迅速稱取總重
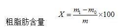
4 計算
式中:
X————樣品中粗脂肪的含量(g/100g);
m1————溶劑杯和粗脂肪的質量(g);
m0————干燥溶劑杯質量(g);
m———— 樣品質量
