脂肪測定儀測定核桃中脂肪含量
1引言
核桃,又稱胡桃,為胡桃科植物。與扁桃、腰果、榛子并稱為世界著名的“四大干果”。核桃仁含有豐富的營養素和含有人體必需的鈣、磷、鐵等多種微量元素和礦物質,以及胡蘿卜素、核黃素等多種維生素。對人體有益,可強健大腦,是深受老百姓喜愛的堅果類食品之一。但其脂肪含量較多,過多攝入,對身體會造成影響。其含量大致為多少呢?本應用方案將給你答案。
2實驗部分
2.1實驗儀器及試劑
SOX406脂肪測定儀(濟南海能儀器股份有限公司);分析天平;鼓風干燥箱;旋風磨;干燥器;100mL量筒。
實驗用水應符合GB/T6682中三級用水的規格,使用試劑除特殊說明外,均為分析純。
石油醚(60~90℃);濾紙;脫脂棉。
2.2實驗步驟
1.儀器準備:請參照說明書,清洗溶劑杯,干燥并稱重記為m0。
2.取樣:將干燥后樣品在旋風磨中粉碎;精確稱取干燥后樣品約1.5g左右(記為m),放入濾紙筒內,并覆蓋上一層脫脂棉。
3.萃取:加入抽提溶劑50mL,打開冷凝水,啟動脂肪測定儀。設置回流時間4h、萃取溫度95℃,進行萃取。預干燥15min。
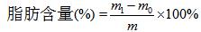
4.計算結果:抽提完成后,烘干溶劑杯至恒重,記為m1。
增重法計算脂肪含量:
其中,m1──溶劑杯和粗脂肪質量,g;
m0──溶劑杯質量,g;
m ──試樣質量,g;
計算得出實驗結果。
3結果分析
由表中數據可知,每100g干核桃仁中含有約63g脂肪,脂肪含量較多。在食用核桃時,建議適量食用。
4注意事項
注意石油醚的揮發及易燃性,實驗過程中應及時注意通風,防止石油醚對人體造成傷害。
