脂肪測定儀測定火腿腸中總脂肪含量
1 引言
火腿腸是深受廣大消費者歡迎的一種肉類食品。它是以畜禽肉為主要原料,輔以填充劑(淀粉、植物蛋白粉等),然后再加入調味品(食鹽、糖、酒味精等)等物質,采用腌制、乳化、高溫蒸煮等加工工藝制成的肉食品,其特點是肉質細膩、食用簡單、攜帶方便、保質期長。火腿腸含蛋白質、脂肪、碳水化合物等成分。
其中總脂肪含量可根據《GB/T9695.7-2008 肉與肉制品 總脂肪含量測定》規定方法測定,即樣品經鹽酸加熱水解,將包含的結合的油脂釋放出來,過濾,留在濾器上的物質經干燥后用石油醚抽提,除去溶劑,得到脂肪總量。
2 實驗部分
2.1 實驗儀器及試劑
SOX406脂肪測定儀(濟南海能儀器股份有限公司);小刀;分析天平;鼓風干燥箱;電熱爐;石棉網;干燥器;100mL量筒;250mL燒杯;表面皿。
實驗用水應符合GB/T6682中三級用水的規格,使用試劑除特殊說明外,均為分析純。
石油醚(60~90℃);無水乙醇;濾紙;脫脂棉。
2.2 實驗步驟
1.儀器準備:請參照說明書,清洗溶劑杯,干燥并稱重記為m0。
2.取樣:用小刀將樣品切碎,精確稱取樣品約5.0g左右(記為m)。
3.酸水解:將稱量好樣品置于250mL燒杯中,加入50mL 2mol/L鹽酸溶液,蓋上小表面皿,放到電熱爐上緩慢加熱至微沸,保持1h,并每10min搖動一次;取下燒杯,加入150mL熱水,混勻,過濾至中性;將過濾的濾紙和擦拭使用的脫脂棉在85℃烘干2h。
4.萃取:將烘干后的過濾濾紙和擦拭使用的脫脂棉放入濾紙筒內,加入抽提溶劑50mL,打開冷凝水,啟動脂肪測定儀。設置回流時間4h、萃取溫度95℃,進行萃取。預干燥15min。
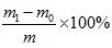
5.計算結果:抽提完成后,烘干溶劑杯至恒重,記為m1。
增重法計算粗脂肪含量:
粗脂肪含量(%) =
,
其中,m1──溶劑杯和粗脂肪質量,g;
m0──溶劑杯質量,g;
m ── 試樣質量,g;
計算得出實驗結果。
3 結果分析

4注意事項
1.注意石油醚的揮發及易燃性,實驗過程中應及時注意通風,防止石油醚對人體造成傷害。
2.在酸水解過濾過程中,應將燒杯和表面皿上殘留脂肪擦凈,以避免實驗結果偏低。
