脂肪測定儀測定餅干中脂肪含量
1 引言
餅干,其主要原料為小麥面粉,再添加上輔料糖類、油脂、蛋品等混合,烘烤而制成。市面上的餅干多種多樣,有蘇打餅干、薄脆餅干、曲奇餅干、威化餅干等。其口味大多味香甜、酥脆,被受人們喜愛。其制作工藝中加入的油脂含量測定原理為:將其樣品粉碎,用有機溶劑進行抽提、蒸去溶劑,得到粗脂肪,并通過增重法計算得到粗脂肪含量。
2 實驗部分
2.1 實驗儀器及試劑
SOX406脂肪測定儀(濟南海能儀器股份有限公司);研缽;分析天平;鼓風干燥箱;干燥器;100mL量筒。
實驗用水應符合GB/T6682中三級用水的規格,使用試劑除特殊說明外,均為分析純。
石油醚(60~90℃);無水乙醇;濾紙;脫脂棉。
2.2 實驗步驟
1.儀器準備:請參照說明書,清洗溶劑杯,干燥并稱重記為m0。
2.取樣:精確稱取樣品約2.0g左右(記為m),放入研缽中將其研碎,并用脫脂棉將研缽上殘留脂肪用乙醇擦拭干凈,一并放入濾紙筒內,并覆蓋上一層脫脂棉,放入80℃烘箱烘干1h。
3.萃取:加入抽提溶劑50mL,打開冷凝水,啟動脂肪測定儀。設置回流時間3.5h、萃取溫度95℃,進行萃取。預干燥15min。
4.計算結果:抽提完成后,烘干溶劑杯至恒重,記為m1。
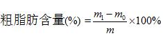
增重法計算粗脂肪含量:
其中,m1──溶劑杯和粗脂肪質量,g;
m0──溶劑杯質量,g;
m ── 試樣質量,g;
計算得出實驗結果。
3 結果分析

4注意事項
注意石油醚的揮發及易燃性,實驗過程中應及時注意通風,防止石油醚對人體造成傷害。
