纖維測定儀檢測苜蓿草粗纖維的含量
1引言
苜蓿草在硫酸作用下,其中糖、淀粉、果膠質和半纖維素經水解出去后,再用堿處理,除去蛋白質及脂肪酸,剩余的殘渣為粗纖維。如其中含有不溶于酸堿的雜質,可灰化后除去。經減重法得到粗纖維含量結果。
2實驗部分
2.1實驗儀器
F800纖維測定儀(濟南海能儀器股份有限公司);分析天平;真空干燥箱;旋風磨;干燥器;馬弗爐。
2.2實驗試劑
實驗用水應符合GB/T6682中三級用水的規格,使用試劑除特殊說明外,均為分析純。
鹽酸溶液:c(HCl)=4.00mol/L;硫酸溶液:c(H2SO4)=0.13mol/L;氫氧化鈉溶液:c(NaOH)=0.31mol/L;丙酮。
濾器輔料:海砂或硅藻土(使用前,將其用沸騰鹽酸溶液[c(HCl)=4mol/L]處理,水洗至中性,在550℃下灰化1h,放入坩堝內);消泡劑:正辛醇。
2.3實驗步驟
1.儀器準備:請參照說明書。
2.樣品制備:用旋風磨將其粉碎,精確稱取干燥樣品約1g(記為m),放入灰化好并帶有硅藻土的坩堝內。
3.酸消煮:消煮管內添加150mL硫酸溶液,微沸狀態下消煮30min,抽濾并洗滌數次至中性。
4.堿消煮:消煮管內添加150mL氫氧化鈉溶液,微沸狀態下消煮30min,抽濾并洗滌數次至中性。
5.洗滌:加入丙酮,洗滌,抽濾。
6.干燥:放入真空干燥箱內,以130℃烘干2h,冷卻稱重m1.
7.灰化:550℃下,在馬弗爐中灰化2h,冷卻稱重為m2.
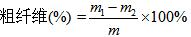
8.計算結果:根據公式
,
其中,m1──130℃烘干后坩堝及試樣殘渣重,g;
m2──550℃(或500℃)灼燒后坩堝及試樣殘渣重,g;
m ──試樣(未脫脂)質量,g;
計算得出實驗結果。
3結果分析
4注意事項
1.若實驗過程中,出現較多氣泡,可滴入幾滴正辛醇。
2.消煮過程中,若樣品出現掛壁現象,可用加入少量酸性或堿性洗滌劑將其沖洗下來。
3.排廢過程中,若出現樣品因抽濾成餅造成抽濾困難時,可采用反沖功能,從而使排廢進行更順利。
