纖維測定儀測定飼料中的酸性洗滌纖維含量
1 前言
粗纖維的測定方法雖然對飼料工業和畜牧業的發展起到了至關重要的作用,但不能給出飼料中纖維成分更精確的信息,同時也不能反映家畜利用纖維物質的真實情況。因為由Van Soest 等人提出的中性洗滌纖維測定方法、酸性洗滌纖維測定方法和酸性木質素測定方法得到廣泛應用。本方案將使用中性洗滌劑和F800纖維測定儀對飼料中酸性洗滌纖維的含量進行檢測。
2 儀器與試劑
2.1儀器
F800纖維測定儀;旋風磨;分析天平;鼓風干燥箱;100mL量筒;干燥器。
2.2試劑
實驗用水應符合GB/T6682中三級用水的規格,使用試劑除特殊說明外,均為分析純。
硫酸;十六烷基三甲基溴化銨(C19H42NBr,CTAB);丙酮(CH3COCH3);石油醚(60~90℃);鹽酸;正辛醇(C8H18O,消泡劑)。
酸性洗滌劑(2%十六烷基三甲基溴化銨溶液):稱取20gCTAB溶解于1000mL1.00mol/L硫酸(1/2H2SO4)溶液中,攪拌溶解。
濾器輔料:硅藻土(在500℃下灰化1h,放入坩堝內)。
3 實驗方法
3.1儀器準備:請參照說明書,準備好儀器。
3.2 洗滌劑和樣品制備:根據農業行業NY/T1459-2007標準,將酸性洗滌劑配好,待用;用旋風磨將其粉碎,過40目分樣篩;精確稱取干燥樣品約1g(記為m),放入灰化好并帶有硅藻土的坩堝(稱重m1)內。
3.3 酸性洗滌劑消煮:消煮管內添加100mL酸性洗滌劑,微沸狀態下消煮60min,抽濾并洗滌數次至無氣泡。
3.4洗滌:先后加入丙酮和石油醚,浸潤5min,洗滌直至濾液變為無色,并抽干。
3.6干燥:放入真空干燥箱內,以130℃烘干2h,冷卻稱重m2。
4 結果與討論
4.1實驗結果
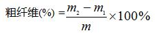
其中,m2──消煮后坩堝硅藻土及樣品殘渣重,g
m1──坩堝及硅藻土重,g
m── 試樣(未脫脂)質量,g
4.2 結論
《NY/T 1459-2007 飼料中酸性洗滌纖維的測定》中對于重復性規定:酸性洗滌纖維(ADF)含量≦10%,允許相對偏差≦5%;酸性洗滌纖維(ADF)含量>10%,允許相對偏差≦3%。實驗各樣品三次獨立測定結果相對偏差均小于3%,符合標準要求。
參考文獻
[1] NY/T 1459-2007 飼料中酸性洗滌纖維的測定[S].
注意事項
若樣品脂肪含量≧10%,必須用丙酮進行脫脂。若實驗過程中,出現較多氣泡,可滴入幾滴正辛醇。消煮過程中,若樣品出現掛壁現象,可用加入少量酸性洗滌劑將其沖洗下來。排廢過程中,若出現樣品因抽濾成餅造成抽濾困難時,可采用反沖功能,從而使排廢進行更順利。
