纖維測定儀測定飼料中的粗纖維含量
1 前言
纖維是反芻動物的一種必須營養素。因此,動物適量攝入粗纖維是對身體有利的。其益處有:維持瘤胃的正常功能和動物的健康;為動物提供大量的能源。粗纖維含量可通過纖維測定儀來測定,經固定量的酸和堿,在一定條件下消煮樣品,再經醚、丙酮除去醚溶物,經高溫灼燒扣除礦物質的量,所余量即為粗纖維。
2 儀器與試劑
2.1儀器
F800纖維測定儀;旋風磨;分析天平;鼓風干燥箱;100mL量筒;干燥器。
2.2試劑
實驗用水應符合GB/T6682中三級用水的規格,使用試劑除特殊說明外,均為分析純。
硫酸溶液:c(H2SO4)=0.13mol/L;氫氧化鈉溶液:c(NaOH)=0.31mol/L;丙酮;石油醚;消泡劑:正辛醇。
濾器輔料:硅藻土(在500℃下灰化1h,放入坩堝內)。
3 實驗方法
3.1儀器準備:請參照說明書,準備好儀器。
3.2 樣品制備:將樣品進行粉碎,精確稱取樣品約1g(記為m),放入灰化好并帶有硅藻土的坩堝內。
3.3 酸消煮:消煮管內添加150mL硫酸溶液,微沸狀態下消煮30min,抽濾并洗滌數次至中性。
3.4 堿消煮:消煮管內添加150mL氫氧化鈉溶液,微沸狀態下消煮30min,抽濾并洗滌數次至中性。
3.5洗滌:先后加入丙酮和石油醚,各洗滌3次,抽濾。
3.6干燥:放入真空干燥箱內,以130℃烘干2h,冷卻稱重m1。
3.7灰化:500℃下,在馬弗爐中灰化2h,冷卻稱重為m2。
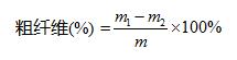
4 實驗結果
其中,m1──130℃烘干后坩堝及試樣殘渣重,g
m0──500℃灼燒后坩堝及試樣殘渣重,g
m── 試樣(未脫脂)質量,g
參考文獻
[1] GB/T 6434-2006 飼料中粗纖維的含量測定 過濾法[S].
注意事項
若實驗過程中,出現較多氣泡,可滴入幾滴正辛醇。消煮過程中,若樣品出現掛壁現象,可用加入少量酸性或堿性洗滌劑將其沖洗下來。排廢過程中,若出現樣品因抽濾成餅造成抽濾困難時,可采用反沖功能,從而使排廢進行更順利。
