纖維測定儀測定谷物籽粒中酸性洗滌纖維含量
1 前言
酸性洗滌纖維:指植物材料或含植物材料的飼料中不溶于酸性洗滌劑的那部分物質,包括纖維素、木質素、二氧化硅、角質蛋白和蠟質等,實際上也是組成植物細胞壁的成分。谷物籽粒中含有大量碳水化合物,以及脂肪,蛋白質,纖維,無機鹽等。同時也是一種重要的飼料成分。其中谷物籽粒中酸性洗滌纖維含量的多少是評價其品質,以及等級的一項重要標準,因此谷物籽粒中酸性洗滌纖維含量的測定在實際應用中具有重要意義。
2 實驗部分
2.1 儀器與試劑
分析天平,Hanon F800纖維測定儀,真空干燥箱,干燥器
酸性洗滌劑(2%十六烷基三甲基溴化銨溶液):稱取20gCTAB溶于1000mL1.00mol/L硫酸(H2SO4)溶液中,攪拌均勻溶液,必要時過濾。
2.2 樣品制備
精確秤取干燥樣品5-10克,在旋風磨中進行粉碎,粉碎后樣品通過1mm篩孔的樣品含量不低于95%。收集粉碎物于磨口瓶中,混合備用。
樣品前處理:因樣品中脂肪和色素含量高于10%,先用乙醚脫脂后再消煮。若脂肪和色素含量低于10%,可先不脫脂,在丙酮洗滌后增加乙醚洗滌2次。
若樣品中淀粉含量較高,可加入0.2mLα-高溫淀粉酶。
2.3 實驗
精確稱量樣品0.5-1.0g,質量記錄為m。將其置于坩堝內并加入幾粒海砂,記錄質量為m1加入100-150mL酸性洗滌劑,再加入2-3滴正辛醇。加熱煮沸,并保持60min。抽濾洗滌室酸性洗滌液后,加入適量預熱好的去離子水進行清洗,洗滌三次至無泡沫為止。后將坩堝和樣品放入105℃烘箱中干燥4h,稱量,重復操作至恒重,并記錄質量為m2。
2.4 計算
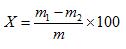
酸性洗滌纖維含量
式中:
X————樣品中酸性洗滌纖維的含量(g/100g);
m1————坩堝和樣品洗滌前的質量(g);
m2————坩堝和樣品洗滌后的質量(g);
m———— 樣品質量
3 結果與討論
若樣品中脂肪,淀粉和色素含量較高,必須進行脫脂處理,方能得到較為準確地實驗結果。
實驗過程中保證冷卻水較為充足,切勿中途斷水,造成溶液沸出。
若實驗過程中有較多氣泡,可加入3-5滴消泡劑正辛醇。
若實驗過程中有少許樣品貼壁,可緩慢加入少許消煮溶液,將其沖洗下來。
