纖維測定儀測定豆皮中的粗纖維含量
1 前言
F800纖維測定儀測定豆皮中粗纖維含量原理:在硫酸作用下,試樣中的糖、淀粉、果膠質和半纖維素經水解除去后,再用堿處理,除去蛋白質及脂肪酸,殘渣稱重,灰化除去不溶酸堿的雜質再稱重,兩者差值稱為粗纖維。
2 儀器與試劑
2.1儀器
F800纖維測定儀;旋風磨;分析天平;鼓風干燥箱;100mL量筒;干燥器。
2.2試劑
實驗用水應符合GB/T6682中三級用水的規格,使用試劑除特殊說明外,均為分析純。
硫酸溶液:c(H2SO4)=0.13mol/L;氫氧化鈉溶液:c(NaOH)=0.31mol/L;乙醇;石油醚;消泡劑:正辛醇。
濾器輔料:硅藻土(在500℃下灰化1h,放入坩堝內)。
3 實驗方法
3.1儀器準備:請參照說明書,準備好儀器。
3.2 精確稱取樣品約1g(記為m),放入灰化好并帶有硅藻土的坩堝內。
3.3 酸消煮:消煮管內添加150mL硫酸溶液,微沸狀態下消煮30min,抽濾并洗滌數次至中性。
3.4 堿消煮:消煮管內添加150mL氫氧化鈉溶液,微沸狀態下消煮30min,抽濾并洗滌數次至中性。
3.5洗滌:加入石油醚,浸潤5min,洗滌直至濾液變為無色,并抽干。
3.6干燥:放入真空干燥箱內,以130℃烘干2h,冷卻稱重m1。
3.7灰化:550℃下,在馬弗爐中灰化2h,冷卻稱重為m2。
4 結果與討論
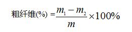
實驗結果
其中,m2──灰化后坩堝、硅藻土及樣品殘渣重,g
m1──烘干后坩堝、硅藻土及樣品殘渣重,g
m── 試樣質量,g
參考文獻
[1] GB/T 6434-2006 飼料中粗纖維的含量測定 過濾法[S].
注意事項
1)若樣品脂肪含量≧10%,應先用乙醚進行脫脂后再進行消煮。
2)若實驗過程中,出現較多氣泡,可滴入幾滴正辛醇。
3)消煮過程中,若樣品出現掛壁現象,可用加入少量酸性洗滌劑將其沖洗下來。
4)排廢過程中,若出現樣品因抽濾成餅造成抽濾困難時,可采用反沖功能,從而使排廢進行更順利。
