纖維測定儀測定大豆蛋白粉中粗纖維含量
引言
大豆蛋白粉是提純植物蛋白的一種,是一種針對特定人群的營養性食品補充劑。其具有恢復身體機能、提高機體免疫力、利于傷口愈合等營養價值。大豆蛋白粉的質量指標中,粗纖維含量有明確要求。用海能F800纖維測定儀測定粗纖維含量原理為:在硫酸作用下,試樣中的糖、淀粉、果膠質和半纖維素經水解除去后,再用堿處理,除去蛋白質及脂肪酸,殘渣稱重,灰化除去不溶酸堿的雜質再稱重,兩者差值稱為粗纖維。
1 實驗部分
1.1 儀器與設備
F800纖維測定儀(濟南海能儀器股份有限公司);分析天平;真空干燥箱;干燥器;馬弗爐。
1.2 試劑與耗材
實驗用水應符合GB/T6682中三級用水的規格,使用試劑除特殊說明外,均為分析純。
1.2.1硫酸溶液:c(H2SO4)=0.13mol/L
1.2.2氫氧化鈉溶液:c(NaOH)=0.31mol/L
1.2.3乙醇
1.2.4石油醚
1.2.5濾器輔料:硅藻土(在500℃下灰化1h,放入坩堝內)
1.2.6消泡劑:正辛醇。
1.3 實驗步驟
1.儀器準備:請參照說明書。
2.樣品制備:精確稱取樣品約1g(記為m),放入灰化好并帶有硅藻土的坩堝內。
3.酸消煮:消煮管內添加150mL硫酸溶液,微沸狀態下消煮30min,抽濾并洗滌數次至中性。
4.堿消煮:消煮管內添加150mL氫氧化鈉溶液,微沸狀態下消煮30min,抽濾并洗滌數次至中性。
5.洗滌:在冷浸提上先后加入乙醇和石油醚,各洗滌1次,抽濾。
6.干燥:放入真空干燥箱內,以130℃烘干2h,冷卻稱重m1.
7.灰化:500℃下,在馬弗爐中灰化2h,冷卻稱重為m2.
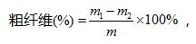
8.根據公式計算結果:
其中,m1──130℃烘干后坩堝及試樣殘渣重,g;
m2──500℃灼燒后坩堝及試樣殘渣重,g;
m ── 試樣質量,g;
計算得出實驗結果。
結果與討論

注意:
1.若實驗過程中,出現較多氣泡,可滴入幾滴正辛醇。
2.消煮過程中,若樣品出現掛壁現象,可用加入少量酸性或堿性洗滌劑將其沖洗下來。
3.排廢過程中,若出現樣品因抽濾成餅造成抽濾困難時,可采用反沖功能,從而使排廢進行更順利。
