纖維測定儀測定不同種類飼料中粗纖維含量
引言
飼料按國標方法分類,可分為粗飼料、青綠飼料、青貯飼料、能量飼料、蛋白質補充飼料、礦物質飼料、維生素飼料、添加劑。其中粗飼料指干物質中粗纖維的含量在18%以上的一類飼料,主要包括干草類、秸稈類等;青綠飼料指自然水分含量在60%以上的一類飼料;能量飼料指干物質中粗纖維的含量在18%以下,粗蛋白的含量在20%以下的一類飼料主要有谷實類、糠麩類等。本方案主要以粗飼料和能量飼料兩種類樣品進行粗纖維檢測。
1 實驗部分
1.1實驗原理
樣品粗纖維含量測定原理為:用固定量的酸和堿,在特定的條件下消煮樣品,再用醚、丙酮除去醚溶物,經高溫灼燒扣除礦物質的量,所余量稱為粗纖維。
1.1 儀器與設備
F800纖維測定儀(濟南海能儀器股份有限公司);分析天平;真空干燥箱;干燥器;馬弗爐。
1.2 試劑與耗材
實驗用水應符合GB/T6682中三級用水的規格,使用試劑除特殊說明外,均為分析純。
1.2.1硫酸溶液:c(H2SO4)=0.13mol/L
1.2.2氫氧化鈉溶液:c(NaOH)=0.31mol/L
1.2.3丙酮
1.2.4石油醚
1.2.5濾器輔料:硅藻土(在500℃下灰化1h,放入坩堝內)
1.2.6消泡劑:正辛醇
1.3 實驗步驟
1.儀器準備:請參照說明書。
2.樣品制備:精確稱取樣品約1g(記為m,未干燥),放入灰化好并帶有硅藻土的坩堝內。
3.酸消煮:消煮管內添加150mL硫酸溶液,微沸狀態下消煮30min,抽濾并洗滌數次至中性。
4.堿消煮:消煮管內添加150mL氫氧化鈉溶液,微沸狀態下消煮30min,抽濾并洗滌數次至中性。
5.洗滌:先后加入丙酮和石油醚,各洗滌3次,抽濾。
6.干燥:放入真空干燥箱內,以130℃烘干2h,冷卻稱重m1.
7.灰化:500℃下,在馬弗爐中灰化2h,冷卻稱重為m2.
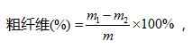
8.根據公式計算結果:
其中,m1──130℃烘干后坩堝及試樣殘渣重,g;
m2──500℃灼燒后坩堝及試樣殘渣重,g;
m ── 試樣質量,g;
計算得出實驗結果。
結果與討論

注意:
1.若實驗過程中,出現較多氣泡,可滴入幾滴正辛醇。
2.消煮過程中,若樣品出現掛壁現象,可用加入少量酸性或堿性洗滌劑將其沖洗下來。
3.排廢過程中,若出現樣品因抽濾成餅造成抽濾困難時,可采用反沖功能,從而使排廢進行更順利。
