土壤陽離子交換量測定方法
實驗原理
依據《LYT 1243-1999 森林土壤陽離子交換量的測定》。用1mol/L的乙酸銨溶液反復處理土壤,使土壤成為銨離子飽和土,過量的乙酸銨用95%乙醇洗去,然后加氧化鎂進行蒸餾。蒸餾出的氨用硼酸溶液吸收,以標準酸液滴定,根據銨離子的量計算土壤陽離子交換量。
儀器與試劑
K1160全自動凱氏定氮儀(陽離子交換量測定儀)
分析天平(萬分之一以上)
離心機(100ml離心管)
試劑配置參照《LYT 1243-1999 森林土壤陽離子交換量的測定》。
實驗過程
1)離子交換 稱取通過1mm篩孔的風干土樣2g,放入100ml離心管中沿壁加入少量1mol/L乙酸銨溶液,用橡皮頭玻璃攪拌土樣,使其成為均勻的泥漿狀態,再加入乙酸銨溶液至總體積約60ml,并充分攪拌均勻,然后用乙酸銨溶液洗凈橡皮玻棒,溶液收入離心管內。
將離心管用乙酸銨溶液使之質量平衡,粗配平。平衡好的離心管對稱放入離心機中,離心3-5min,轉速3000r/min。
每次離心后的清液收集在250ml容量瓶中,如此用乙酸銨溶液處理2-3次,直到浸出液中無鈣離子反應為止(檢查鈣離子:取浸出液5ml,放在試管中, 加pH10緩沖溶液1ml,再加入少許K-B指示劑,如呈藍色,表示無鈣離子:如呈紫紅色,表示有鈣離子)。最后用乙酸銨溶液定容,保留離心清液用于測定交換性鹽基。
2)反復清洗 往載土的離心管中加入少量95%的乙醇,用橡皮玻璃棒攪拌土樣,使
其成為泥漿狀態,再加乙醇約至60ml,用橡皮玻璃棒充分攪拌均勻,以便洗去土粒表面多余的乙酸銨,切不可有小土團存在。
然后將離心管用乙醇使之質量平衡,粗配平,并對稱放入離心機中,離心3-5min,轉速3000r/min,棄去乙醇溶液。如此反復用乙醇洗2-3次,直至最后一次乙醇清液中無銨離子為止(檢查銨離子:取乙醇清液,立即加一滴納氏試劑,如無黃色,表示無銨離子,也可用甲基紅-溴甲酚綠混合指示劑進行檢查)。
3)上機測試 洗去多余的銨離子后,先用水沖洗離心管外壁,再往離心管中加入少量水,并攪拌成糊狀,再用水將泥漿洗入消化管中,并用橡皮玻璃棒擦洗離心管內壁,使全部土樣轉入消化管中,洗入水的體積應控制在50-80ml。
消化管內加入2ml液體石蠟和1g左右氧化鎂。立即把消化管裝在儀器上,設置程序如下:
每份土樣做不少于兩次的平行的測定。同時做空白試驗。
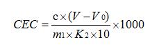
4)儀器輸出結果 儀器自動滴定并給出陽離子交換量含量,儀器內置計算公式如下:
式中:CEC: 陽離子交換量,cmol(+)/kg;
C:鹽酸標準溶液的濃度,mol/L ;
V:鹽酸標準溶液的用量,mL ;
V0:空白試驗鹽酸標準溶液的用量,mL ;
m1:風干土樣質量,g ;
K2:將風干土換算成烘干土的換算系數;
10:將mmol換算成cmol 的倍數。
