索氏提取儀測定豌豆粉中脂肪含量
1 引言
即食豌豆粉是一種方便沖調產品,口感細膩,營養豐富,含有豐富的蛋白質、維生素、礦物質等。其中脂肪含量測定原理為:將粉碎、分散且干燥的試樣用有機溶劑回流提取,使試樣中的脂肪被溶劑抽提出來,回收溶劑后所得到的殘留物,即粗脂肪。
2 實驗部分
2.1 實驗儀器及試劑
SOX406索氏提取儀(濟南海能儀器股份有限公司);圓孔篩;分析天平;鼓風干燥箱;干燥器;100mL量筒。
實驗用水應符合GB/T6682中三級用水的規格,使用試劑除特殊說明外,均為分析純。
石油醚(60~90℃);濾紙;脫脂棉。
2.2 實驗步驟
1.儀器準備:請參照說明書,清洗溶劑杯,干燥并稱重記為m0。
2.取樣:精確稱取樣品約2.0g左右(記為m),放入濾紙筒內,并覆蓋上一層脫脂棉。
3.萃取:加入抽提溶劑50mL,打開冷凝水,啟動索氏提取儀。設置回流時間2.5h、萃取溫度100℃,進行萃取。預干燥15min。
4.計算結果:抽提完成后,烘干溶劑杯至恒重,記為m1。
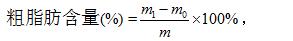
增重法計算粗脂肪含量:
其中,m1──溶劑杯和粗脂肪質量,g;
m0──溶劑杯質量,g;
m ── 試樣質量,g;
計算得出實驗結果。
3 結果分析

4注意事項
注意石油醚的揮發及易燃性,實驗過程中應及時注意通風,防止石油醚對人體造成傷害。
