索氏提取儀測定靈芝中多糖含量
1 前言
靈芝多糖是靈芝中最有效的成分之一。其有多方面的藥理活性:能提高機體免疫力、加速血液微循環、提高血液供氧能力、降低機體靜止狀態下的無效耗氧量等。
本次帶來的實驗方案是水提醇沉淀+苯酚-硫酸光度法。整個實驗水提部分使用SOX406索氏提取儀,含量測定使用紫外可見分光光度計。分光光度法原理:靈芝多糖在酸性環境下水解為單糖,并迅速脫水生成糖醛衍生物,然后與苯酚生成橙黃色化合物,在特定波長下,以比色法測定。
2 實驗部分
2.1 儀器
SOX406索氏提取儀;i8紫外可見光-分光光度計;分析天平;鼓風干燥箱;干燥器;旋風磨;100mL量筒。
2.2試劑
實驗用水應符合GB/T6682中三級用水的規格,使用試劑除特殊說明外,均為分析純。
硫酸;苯酚;乙醇;葡萄糖;濾紙;脫脂棉。
3實驗方法
3.1儀器準備
請參照說明書,清洗溶劑杯,干燥并稱重記為m0。
3.2樣品制備
將樣品進行粉碎,精確稱取樣品約2.0g左右(記為m),并用雙層濾紙包包好,放入濾紙筒內。
3.3第一階段提取
加入抽提溶劑水60mL,打開冷凝水,啟動脂肪測定儀406。設置第一階段萃取時間2h;萃取溫度140℃;實驗結束完,將萃取液收集到燒杯內,并用少量蒸餾水由上端萃取口分多次淋洗樣品,并入到燒杯內,溶劑杯內換入新的蒸餾水再次進行萃取。再重復此操作兩次。
3.4濃縮
將燒杯置于帶有石棉網的電爐上烘干至少量水時,在進行水浴烘干。
3.5醇沉淀
將殘渣用5ml水溶解,邊攪拌邊緩慢地加乙醇75ml,搖勻,在低溫環境下靜置12小時,離心,棄去上層清液,沉淀物用熱水溶解并轉移至50ml容量瓶中,放冷,加水至刻度,搖勻。
3.6苯酚溶液配制
稱取10.0g苯酚置于200ml容量瓶中,加水定容,置于棕色瓶中,避光保存。
3.7葡萄糖溶液配制
稱取葡萄糖0.1g溶于100ml容量瓶中,并定容。取其中10ml溶液于100ml容量瓶中,并定容,搖勻得0.1mg/ml溶液。
3.8.標準曲線建立
取5個10ml容量瓶,向其中加入0.0,0.2,0.4,0.6,0.8ml葡萄糖溶液,依次加水1ml,苯酚1ml,濃硫酸5ml,振搖5min,置于40℃水浴15min,放冷定容至10ml,用紫外-可見分光光度法在490nm波長處測定其吸光度,以吸光度為縱坐標,濃度為橫坐標,繪制標準曲線。
3.9樣品測試
取樣品0.5ml,按9中步驟進行依次加入各種試劑,進行測定。從標準曲線上,讀出其濃度C(μg/ml)。
4結果分析
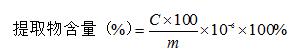
根據藥典規定,靈芝以無水葡萄糖計,可根據如下公式進行計算,
標準曲線 C=-1.556+119.1×A
注意事項
該實驗每階段收集時,建議多次淋洗。在萃取過程中,將樣品浸入到萃取液中,可加速萃取速度。
