索氏提取儀測定安息香醇中不溶物含量
1 前言
安息香為安息香科植物白花樹的干燥樹脂,樹干經自然損傷或于夏、秋二季割裂樹干,收集流出的樹脂,陰干而成。性味辛、苦、平。有開竅醒神,行氣活血,止痛的功效。適用于中風痰厥,氣郁暴厥,心腹疼痛小兒驚風等癥狀。因藥典中,安息香檢查指標中的醇中不溶物一項需用索氏提取器和乙醇對樣品進行提取,該步驟費時費力;用索氏提取儀代替索氏提取器,無需過濾,且一次可以處理6個樣品,縮短了萃取時間,提高了工作效率。
2 實驗部分
2.1 儀器
SOX406/606索氏提取儀;分析天平;旋風磨;鼓風干燥箱;干燥器;100mL量筒。
2.2試劑
實驗用水應符合GB/T6682中三級用水的規格,使用試劑除特殊說明外,均為分析純。
無水乙醇;濾紙;脫脂棉。
3實驗方法
3.1儀器準備
請參照說明書,清洗溶劑杯,干燥。
3.2樣品制備
將樣品粉碎,精確稱取干燥樣品2.5g(記為m),用濾紙包好,105℃烘干1h,放入干燥器內冷卻至室溫,稱重記為m1。
3.3儀器參數設置
打開冷凝水,啟動索氏提取儀,設置萃取參數。加入乙醇回流提取至提取液無色。
抽提完成后,棄去溶劑杯內的乙醇液,取出殘渣室溫揮干,放入105℃烘箱內烘干1h,放入干燥器內冷卻至室溫,稱量記為m2。
4結果分析
4.1實驗結果
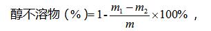
計算醇不溶物含量:
,
其中,m1──未萃取前,105℃烘干濾紙和樣品質量,g;
m2──萃取后,105℃烘干濾紙和殘渣質量,g;
m──試樣質量,g
參考文獻
[1] 國家藥典委員會.中華人民共和國藥典[M].一部.北京:中國醫藥科技出版社,2015:148.
注意事項
樣品需進行充分研碎或粉碎。顆粒尺寸越小,混合越均勻,樣品中醇容物越容易被萃取出來,從而可縮短萃取時間,提高工作效率。
