SOX406脂肪測定儀測定香菇中脂肪含量
1引言
香菇是一種營養豐富并兼有食療價值的食品。香菇是世界上第二大食用菌,也是我國的特產之一,味道鮮美,香氣沁人,營養豐富。香菇有“山珍之王”之稱,是高蛋白、低脂肪的營養保健食品。香菇中的脂肪所含脂肪酸,對人體降低血脂有益。其脂肪含量測定是經過酸水解,冷卻、過濾、洗滌殘渣,再經石油醚提取,烘干、恒重得到脂肪含量。
2實驗部分
2.1實驗儀器及試劑
SOX406脂肪測定儀(濟南海能儀器股份有限公司);分析天平;鼓風干燥箱;干燥器;剪刀;旋風磨;100mL量筒。
實驗用水應符合GB/T6682中三級用水的規格,使用試劑除特殊說明外,均為分析純。
石油醚(60~90℃);鹽酸溶液(3mol/L);濾紙;脫脂棉。
2.2實驗步驟
1.儀器準備:請參照說明書,清洗溶劑杯,干燥并稱重記為m0。
2.取樣:將樣品用剪刀剪碎,80℃下烘干至發脆,并在旋風磨中粉碎;精確稱取干燥后樣品約5.0g左右(記為m)。
3.酸水解:將樣品放入盛有鹽酸溶液的燒杯中,緩慢加熱至微沸,并保持微沸狀態下水解1h,過濾,洗滌至中性,烘干。
4.萃取:將樣品放入濾紙筒內,并覆蓋上一層脫脂棉,加入抽提溶劑50mL,打開冷凝水,啟動脂肪測定儀。設置回流時間3h、萃取溫度95℃,進行萃取。預干燥15min。
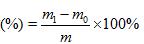
4.計算結果:抽提完成后,烘干溶劑杯至恒重,記為m1。
增重法計算粗脂肪含量:
粗脂肪含量(%) =
其中,m1──溶劑杯和粗脂肪質量,g;
m0──溶劑杯質量,g;
m ── 干燥后試樣質量,g;
計算得出實驗結果。
3結果分析
4注意事項
注意石油醚的揮發及易燃性,實驗過程中應及時注意通風,防止石油醚對人體造成傷害。
