SOX406脂肪測定儀測定薯片中脂肪含量
1引言
薯片是由馬鈴薯制成的零食。制作方法是把馬鈴薯切成薄片,通過炸或烤至脆口并加以調味即可。除了簡單的加入調味劑鹽,市面上還有烤肉味,番茄味等,因其口味的不同而被人們喜歡。但由于其制作工藝炸制的原因易造成脂肪含量較高。本方案將采用SOX406脂肪測定儀對薯片中脂肪含量進行測定。
2實驗部分
2.1實驗儀器及試劑
SOX406脂肪測定儀(濟南海能儀器股份有限公司);分析天平;研缽;鼓風干燥箱;干燥器;100mL量筒。
實驗用水應符合GB/T6682中三級用水的規格,使用試劑除特殊說明外,均為分析純。
石油醚(60~90℃);濾紙;脫脂棉。
2.2實驗步驟
1.儀器準備:請參照說明書,清洗溶劑杯,干燥并稱重記為m0。
2.取樣:精確稱取樣品約1.0g左右(記為m),放入研缽中將其研碎,并用脫脂棉將研缽上殘留脂肪用乙醇擦拭干凈,一并放入濾紙筒內,并覆蓋上一層脫脂棉,放入80℃烘箱烘干1h。
3.萃取:加入抽提溶劑50mL,打開冷凝水,啟動脂肪測定儀。設置回流時間3h、萃取溫度95℃,進行萃取。預干燥15min。
4.計算結果:抽提完成后,烘干溶劑杯至恒重,記為m1。
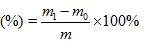
增重法計算粗脂肪含量:
粗脂肪含量(%) =
其中,m1──溶劑杯和粗脂肪質量,g;
m0──溶劑杯質量,g;
m ──試樣質量,g;
計算得出實驗結果。
3結果分析
4注意事項
注意石油醚的揮發及易燃性,實驗過程中應及時注意通風,防止石油醚對人體造成傷害。
