SOX406脂肪測定儀測定飼料中脂肪含量
1引言
飼料中添加脂肪優點如下:一、為禽畜提供脂肪酸的來源;二、能改善換肉率促進動物生長、提高適口性;三、改進飼料外觀及增加商品光澤;四、改善色素及脂溶性維生素的吸收利用;五、使用脂肪作為營養物質,可降低成本。因此,脂肪含量的測定對飼料成分至關重要。本實驗以小鼠飼料為基礎,進行脂肪含量測定實驗。
2實驗部分
2.1實驗儀器及試劑
SOX406脂肪測定儀(濟南海能儀器股份有限公司);旋風磨;分析天平;鼓風干燥箱;干燥器;100mL量筒。
實驗用水應符合GB/T6682中三級用水的規格,使用試劑除特殊說明外,均為分析純。
石油醚(60~90℃);濾紙;脫脂棉。
2.2實驗步驟
1.儀器準備:請參照說明書,清洗溶劑杯,干燥并稱重記為m0。
2.取樣:用旋風磨將樣品粉碎,精確稱取干燥樣品約1.0g(記為m),放入濾紙筒內,并覆蓋上一層脫脂棉。
3.萃取:加入抽提溶劑50mL,打開冷凝水,啟動脂肪測定儀。設置回流時間4h、萃取溫度95℃,進行萃取。預干燥15min。
4.計算結果:抽提完成后,烘干溶劑杯至恒重,記為m1。
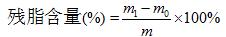
增重法計算殘脂含量:
其中,m1──溶劑杯和殘脂質量,g;
m0──溶劑杯質量,g;
m ──試樣質量,g;
計算得出實驗結果。
3實驗結果
4注意事項
注意石油醚的揮發及易燃性,萃取過程中應及時注意通風。
