SOX406脂肪測定儀測定犬糧中脂肪含量
1引言
犬糧是專業為寵物犬類提供的營養餐,營養均衡,犬類吃了會健康。犬糧的營養成分主要是從水分,維生素,脂肪,蛋白質等成分去檢測。其中,脂肪不僅能提供給狗狗熱量和必要的脂肪酸助其成長,而且能促進狗狗對脂溶性維生素的吸收。本方案采用SOX406脂肪測定儀檢測了不同口味寵物犬犬糧中脂肪含量。
2實驗部分
2.1實驗儀器及試劑
SOX406脂肪測定儀(濟南海能儀器股份有限公司);分析天平;鼓風干燥箱;旋風磨;干燥器;100mL量筒。
實驗用水應符合GB/T6682中三級用水的規格,使用試劑除特殊說明外,均為分析純。
石油醚(60~90℃);濾紙;脫脂棉。
2.2實驗步驟
1.儀器準備:請參照說明書,清洗溶劑杯,干燥并稱重記為m0。
2.取樣:將樣品在旋風磨中粉碎;精確稱取干燥后樣品約1g左右(記為m),放入濾紙筒內,并覆蓋上一層脫脂棉。
3.萃取:加入抽提溶劑50mL,打開冷凝水,啟動脂肪測定儀。設置回流時間3.0h、萃取溫度95℃,進行萃取。預干燥15min。
4.計算結果:抽提完成后,烘干溶劑杯至恒重,稱重記為m1。
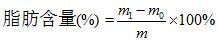
增重法計算脂肪含量:
其中,m1──溶劑杯和粗脂肪質量,g;
m0──溶劑杯質量,g;
m ── 干燥后試樣質量,g;
計算得出實驗結果。
3結果分析
由表中數據可知,采用SOX406脂肪測定儀測試的心形顆粒狀牛肉味和骨頭形顆粒狀雞肉味幼犬犬糧樣品兩個平行樣數據的重復性符合國標GB/T6433-2006標準,即心形顆粒狀牛肉味和骨頭形顆粒狀雞肉味幼犬犬糧樣品的脂肪含量分別為8.10%和10.33%。
4注意事項
注意石油醚的揮發及易燃性,實驗過程中應及時注意通風,防止石油醚對人體造成傷害。
