SOX406脂肪測定儀測定方便面中脂肪含量
1引言
生活節奏的加快導致我們在飲食上的時間也在縮短,使許多快餐行業崛起。方便面就是快餐食品中的一種。方便面,又稱泡面、杯面、速食面、即食面等,南方一般稱為碗面。方便面以其獨特的調料包口味而被光大人們喜歡。而泡面中醬包的脂肪含量很高,這是眾所周知的,而面餅中脂肪含量往往被人們忽略。本方案將采用SOX406脂肪測定儀檢測方便面面餅中脂肪含量。
2實驗部分
2.1實驗儀器及試劑
SOX406脂肪測定儀(濟南海能儀器股份有限公司);分析天平;鼓風干燥箱;研缽;干燥器;100mL量筒。
實驗用水應符合GB/T6682中三級用水的規格,使用試劑除特殊說明外,均為分析純。
石油醚(60~90℃);濾紙;脫脂棉。
2.2實驗步驟
1.儀器準備:請參照說明書,清洗溶劑杯,干燥并稱重記為m0。
2.取樣:將樣品在研缽中研碎;精確稱取樣品約2g左右(記為m)。
3.酸水解:將稱量好樣品放入3mol/L的鹽酸溶液中,緩慢沸騰1h,至溶液中淀粉水解完全;過濾,并洗滌至中性,烘干,得前處理樣品。
4.萃取:將前處理后的樣品,放入濾紙筒內,并覆蓋上一層脫脂棉;加入抽提溶劑50mL,打開冷凝水,啟動脂肪測定儀。設置回流時間2.5h、萃取溫度95℃,進行萃取。預干燥15min。
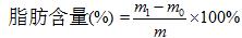
5.計算結果:抽提完成后,烘干溶劑杯至恒重,稱重記為m1。
增重法計算脂肪含量:
其中,m1──溶劑杯和粗脂肪質量,g;
m0──溶劑杯質量,g;
m ──試樣質量,g;
計算得出實驗結果。
3結果分析
由表中數據可知,采用SOX406脂肪測定儀測試的方便面面餅樣品中兩個平行樣數據的重復性符合國標GB/T14772-2008標準,即方便面面餅樣品的脂肪含量為15.75%。
4注意事項
注意石油醚的揮發及易燃性,實驗過程中應及時注意通風,防止石油醚對人體造成傷害。
