凱氏定氮儀測定疫苗中蛋白質含量
1 前言
疫苗是指為了預防、控制傳染病的發生、流行,用于人體預防接種的疫苗類預防性生物制品。生物制品,是指用微生物或其毒素、酶,人或動物的血清、細胞等制備的供預防、診斷和治療用的制劑。預防接種用的生物制品包括疫苗、菌苗和類毒素。其中,由病菌制成的為菌苗;由病毒、立克次體、螺旋體制成的為疫苗,有時也統稱為疫苗。不管是哪一種疫苗,里面都會含有大量蛋白質。下面以禽流感疫苗為例,為大家介紹一下疫苗中蛋白質含量測定的方法。
2 實驗部分
2.1原理
疫苗中的有機態氮在濃硫酸和催化劑的共同作用下,轉化為氨態氮。加堿蒸餾后,用硼酸吸收后,再以硫酸標準滴定液進行滴定。
2.2 儀器與試劑、器具
2.2.1 K1100F全自動凱氏定氮儀(濟南海能儀器股份有限公司)。
2.2.2 SH420F石墨消解儀(濟南海能儀器股份有限公司)。
2.2.3 硫酸 分析純,c(HCL)=0.1mol/L,標準滴定液。
2.2.4 硼酸 分析純,質量分數2%。
2.2.5 氫氧化鈉 分析純,質量分數40%。
2.2.6 溴甲酚綠-甲基紅混合指示劑 將溴甲酚綠乙醇溶液(1g/L)與甲基紅乙醇溶液(1g/L)按5:1體積比臨時混合搖勻備用。
2.2.7 催化劑片 3g硫酸鉀和0.2g硫酸銅混合均勻壓片
2.2.8 50ml量筒
2.2.9 稱量瓶
2.3 實驗部分
2.3.1取樣:精確量取2ml樣品放入消化管中,并用純水沖洗消化管壁,防止殘留,加催化劑片(或者3g硫酸鉀、0.2g硫酸銅),加入8ml濃硫酸。
2.3.2消解:利用石墨消解爐進行消解,將消化管放在石墨爐上,蓋上排氣罩,連接廢氣吸收系統,消化完畢后,將消化管取下冷卻至室溫。消化過程采用曲線升溫模式,設置參數如下:
2.3.3 待消化管內溶液冷卻至室溫后,將消化管放置于定氮儀上。定氮儀設置程序如下:
稀釋水:30ml
硼酸: 25ml
堿: 30ml
蒸餾時間:5min
2.3.4 儀器自動滴定并給出計算結果。
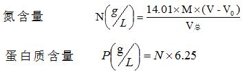
3 結果與討論
式中:M-標準酸摩爾濃度(mol/L)
V總-樣品體積(mL)
V0-空白樣滴定標準酸消耗量(mL)
V-樣品滴定標準酸消耗量(mL),精確到小數點后四位
6.25是蛋白質系數
注意事項
1.消解過程中要先將水分揮發完全,以防止爆沸,噴濺。
