凱氏定氮法測定芝麻糊中蛋白質含量
1 前言
芝麻糊其醇香的味道迷倒了一大批人,冬日的早上來一包,暖暖的感覺直達心底。芝麻中含有豐富的營養物質,下面則為大家介紹一下其中蛋白質含量的測定方法。
2 實驗部分
2.1原理
芝麻糊中的有機態氮在濃硫酸和催化劑的共同作用下,轉化為氨態氮。加堿蒸餾后,用硼酸吸收后,再以鹽酸或硫酸標準滴定液進行滴定。
2.2 儀器與試劑、器具
2.2.1 K1100F全自動凱氏定氮儀(濟南海能儀器股份有限公司)。
2.2.2 SH420F石墨消解儀(濟南海能儀器股份有限公司)。
2.2.3 鹽酸 分析純,c(HCL)=0.1mol/L,標準滴定液。
2.2.4 硼酸 分析純,質量分數2%。
2.2.5 氫氧化鈉 分析純,質量分數40%。
2.2.6 溴甲酚綠-甲基紅混合指示劑 將溴甲酚綠乙醇溶液(1g/L)與甲基紅乙醇溶液(1g/L)按5:1體積比臨時混合搖勻備用。
2.2.7 催化劑片 3g硫酸鉀和0.2g硫酸銅混合均勻壓片
2.2.8 10mL移液管
2.3 實驗部分
2.3.1取樣:取0.5g左右樣品,加催化劑一片(或硫酸鉀3g與硫酸銅0.2g),再沿瓶壁滴加硫酸10.0ml.
2.3.2消解:利用石墨消解爐進行消解,將消化管放在石墨爐上,蓋上排氣罩,連接廢氣吸收系統,消化完畢后,將消化管取下冷卻至室溫。消化過程采用曲線升溫模式,設置參數如下:
2.3.3 待消化管內溶液冷卻至室溫后,將消化管放置于定氮儀上。定氮儀設置程序如下:
稀釋水:30ml
硼酸: 25ml
堿: 35ml
蒸餾時間:5min
2.3.4 儀器自動滴定并給出計算結果。
3 結果與討論
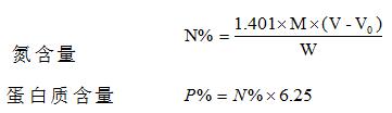
式中:M-標準酸摩爾濃度(mol/L)
W-樣品質量(g)
V0-空白樣滴定標準酸消耗量(mL)
V-樣品滴定標準酸消耗量(mL),精確到小數點后四位
6.25-樣品蛋白系數
根據國標《GBT 23781-2009 黑芝麻糊 》上顯示:黑芝麻糊的蛋白質含量應大于5%,此次測試結果為7.2584%,符合國標要求。
