凱氏定氮法測定大豆肽中蛋白質含量
1 前言
大豆肽粉是一種由2-6個氨基酸組成的、分子量在200-800 Dalton 的混合肽產品。與原蛋白相比,大豆肽粉具有很好的水溶性、持水性、起泡性,能在pH2-10的任何酸堿條件下完全溶解。大豆肽粉能與其它食品配料完全溶合,并保持各自原有的物化及營養特性。與原蛋白和同組成的氨基酸制劑相比,大豆肽粉更易被人體吸收,它可不經胃腸消化,直接進入小腸被吸收,而且不受身體狀況所影響。
大豆肽的分級標準中,粗蛋白含量作為其中一個重要的指標。因此測定大豆肽的蛋白質含量具有重要意義。
2 實驗部分
2.1原理
根據國標《GB/T22492-2008大豆肽粉》中大豆肽粉在濃硫酸和催化劑的共同作用下,由有機態的氮轉化為氨態氮。加堿蒸餾后,用硼酸吸收后,再以硫酸標準滴定液進行滴定。
2.2 儀器與試劑、器具
2.2.1 K1100F全自動凱氏定氮儀(濟南海能儀器股份有限公司)。
2.2.2 SH420F石墨消解儀(濟南海能儀器股份有限公司)。
2.2.3 硫酸 分析純,c(HCL)=0.1mol/L,標準滴定液。
2.2.4 硼酸 分析純,質量分數2%。
2.2.5 氫氧化鈉 分析純,質量分數40%。
2.2.6 溴甲酚綠-甲基紅混合指示劑 將溴甲酚綠乙醇溶液(1g/L)與甲基紅乙醇溶液(1g/L)按5+1體積比臨時混合搖勻備用。
2.2.7 催化劑片 3g硫酸鉀和0.2g硫酸銅混合均勻壓片
2.2.8 50ml量筒
2.2.9 稱量瓶
2.3 實驗部分
2.3.1取樣:取0.5g左右的樣品,稱量紙包好一并投入消化管中,加一片催化劑片(或者3g硫酸鉀、0.2g硫酸銅),加入10ml濃硫酸。
2.3.2消解:利用石墨消解爐進行消解,將消化管放在石墨爐上,蓋上排氣罩,連接廢氣吸收系統,消化完畢后,將消化管取下冷卻至室溫。消化過程采用直線升溫模式,逐漸升溫至420度,消解1小時。
2.3.3 待消化管內溶液冷卻至室溫后,將消化管放置于定氮儀上。定氮儀設置程序如下:
硼酸:35ml
堿:40ml
蒸餾時間:5min
2.3.4 儀器自動滴定并給出計算結果。
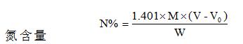
蛋白質含量 P%=N(%)×6.25
式中:M-標準酸摩爾濃度(mol/L)
W-樣品質量(g)
V0-空白樣滴定標準酸消耗量(mL)
V-樣品滴定標準酸消耗量(mL),精確到小數點后四位
3 結果與討論
大豆肽中蛋白質含量作為一個重要的分級標準:
