F800纖維測定儀檢測茶葉粗纖維的含量
1引言
粗纖維是茶葉嫩度的標志,其與茶葉嫩度呈負相關。隨著茶芽的生長進程,纖維素逐漸積累。纖維素越多,茶葉的嫩度越低,反之茶葉嫩度越高。嫩度高的茶葉,其成分水浸物、茶多酚、兒茶素、全氮量、蛋白質、咖啡堿和水溶性果膠等豐富。因此,只有在采摘嫩度高的前提下,才能做出色、香、味、形俱佳的成茶;反之,粗纖維多的老茶的品質低劣。所以,粗纖維含量的高低與茶葉品質密切相關。
茶葉中粗纖維含量測定原理:茶葉在一定濃度硫酸作用下,其中糖、淀粉、果膠質和半纖維素經水解出去后,再用一定濃度堿處理,除去蛋白質及脂肪酸,剩余的殘渣再經灰化、稱量;由灰化時質量損失計算得出粗纖維含量。
2實驗部分
2.1實驗儀器
F800纖維測定儀(濟南海能儀器股份有限公司);分析天平;真空干燥箱;旋風磨;干燥器;馬弗爐。
2.2實驗試劑
實驗用水應符合GB/T6682中三級用水的規格,使用試劑除特殊說明外,均為分析純。
鹽酸溶液:c(HCl)=4.00mol/L和0.27mol/L;硫酸溶液:c(H2SO4)=0.13mol/L;氫氧化鈉溶液:c(NaOH)=0.31mol/L;丙酮;乙醇。
濾器輔料:海砂或硅藻土(使用前,將其用沸騰鹽酸溶液[c(HCl)=4mol/L]處理,水洗至中性,在550℃下灰化1h,放入坩堝內);消泡劑:正辛醇。
2.3實驗步驟
1.儀器準備:請參照說明書。
2.樣品制備:用旋風磨將其粉碎,精確稱取干燥樣品約1g(記為m),放入灰化好并帶有硅藻土的坩堝內。
3.酸消煮:消煮管內添加150mL硫酸溶液,微沸狀態下消煮30min,抽濾并洗滌數次至中性。
4.堿消煮:消煮管內添加150mL氫氧化鈉溶液,微沸狀態下消煮30min,抽濾并洗滌數次至中性。
5.洗滌:加入0.27mol/L鹽酸洗滌一次,再用熱蒸餾水洗滌數次至中性;加入乙醇洗滌兩次;丙酮洗滌三次,抽濾至干,除去溶劑。
6.干燥:放入真空干燥箱內,以130℃烘干2h,冷卻稱重m1.
7.灰化:550℃下,在馬弗爐中灰化2h,冷卻稱重為m2.
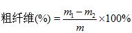
8.計算結果:根據公式粗纖維(%) =
其中,m1──130℃烘干后坩堝及試樣殘渣重,g;
m2──550℃(或500℃)灼燒后坩堝及試樣殘渣重,g;
m ── 干燥試樣質量,g;
計算得出實驗結果。
3 注意事項
1.若實驗過程中,出現較多氣泡,可滴入幾滴正辛醇。
2.消煮過程中,若樣品出現掛壁現象,可用加入少量酸性或堿性洗滌劑將其沖洗下來。
3.排廢過程中,若出現樣品因抽濾成餅造成抽濾困難時,可采用反沖功能,從而使排廢進行更順利。
