F800纖維測定儀檢測苜蓿草酸性洗滌木質素的含量
1引言
根據Van Soest方法結合海能F800纖維測定儀測定苜蓿草中纖維素的含量原理如下:苜蓿草經酸性洗滌劑的消煮后,得到殘渣成分為纖維素、木質素和硅酸鹽;樣品再經12mol/L硫酸常溫下消解,洗去纖維素得到殘渣成分為木質素和硅酸鹽;再將樣品經高溫灰化,通過得硅酸鹽重量,通過差重法得出酸性洗滌木質素含量。
2實驗部分
2.1實驗儀器
F800纖維測定儀(濟南海能儀器股份有限公司);分析天平;真空干燥箱;旋風磨;干燥器。
2.2實驗試劑
實驗用水應符合GB/T6682中三級用水的規格,使用試劑除特殊說明外,均為分析純。
硫酸;十六烷基三甲基溴化銨(C19H42NBr,CTAB);丙酮(CH3COCH3);石油醚;正辛醇(C8H18O,消泡劑)。
濾器輔料:海砂或硅藻土(使用前,將其用沸騰鹽酸溶液[c(HCl)=4mol/L]處理,水洗至中性,在550℃下灰化1h,放入坩堝內)。
2.3實驗步驟
1.儀器準備:請參照說明書。
2.洗滌劑和樣品準備:根據農業行業NY/T1459-2007標準,將酸性洗滌劑配好,待用;用旋風磨將其粉碎,過40目分樣篩;精確稱取干燥樣品約1g(記為m),放入灰化好并帶有硅藻土的坩堝內。
3.酸性洗滌劑消煮:消煮管內添加100mL酸性洗滌劑,微沸狀態下消煮60min,抽濾并洗滌數次至無氣泡。
4.洗滌:在冷浸提裝置中先后加入丙酮和石油醚,洗滌,抽濾。
5.洗滌:樣品在冷浸提用12mol/L的硫酸溶液消解3h,并抽濾,洗滌至中性。
7.干燥:放入真空干燥箱內,以130℃烘干2h,冷卻稱重m1。
8.灰化:550℃下,在馬弗爐中灰化2h,冷卻稱重為m2。
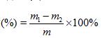
9.計算結果:根據公式 酸性洗滌木質素含量(%) =
其中,m1──130℃烘干后坩堝及試樣消煮后殘渣重,g;
m2──550℃灰化后坩堝及試樣殘渣重,g;
m ──試樣(未脫脂)質量,g;
計算得出實驗結果。
3 注意事項
1.若樣品含有脂肪和色素含量≧10%,先用石油醚或乙醚在冷浸提裝置中進行脫脂。
2.若實驗過程中,出現較多氣泡,可滴入幾滴正辛醇。
3.消煮過程中,若樣品出現掛壁現象,可用加入少量酸性或堿性洗滌劑將其沖洗下來。
4.排廢過程中,若出現樣品因抽濾成餅造成抽濾困難時,可采用反沖功能,從而使排廢進行更順利。
附:農業NY/T1459-2007標準中酸性洗滌劑配制方法:酸性洗滌劑(2%十六烷基三甲基溴化銨溶液):稱取20gCTAB溶解于1000mL1.00mol/L硫酸(1/2H2SO4)溶液中,攪拌溶解。
