電位滴定法測定堿式碳酸鎂的氯含量
1 前言
堿式碳酸鎂,為白色稀松的粉末或為輕脆的物質,主要用作透明或淺色橡膠制品的填充劑和補強劑,且能增強橡膠的耐磨性,抗彎曲性和拉伸強度。也可用作油漆、石墨和涂料的添加劑,也可用于牙膏、醫藥和化妝品等工業。本文參照國標方法,旨在探討電位滴定儀測定氯化物含量的可行性。
2 儀器與試劑
2.1 儀器
T960電位滴定儀、Hamilton 銀復合電極
2.2 試劑
硝酸銀溶液(0.0106mol/L)、氫氧化鈉溶液(1.0mol/L)、硝酸溶液(1 mol/L)、硝酸溶液(2+3)、95%乙醇、
3 實驗方法
3.1 實驗步驟
稱取約4.0g試樣,精確到0.01g,置于滴定杯中,加少量水潤濕,滴定硝酸溶液(2+3)至試樣完全溶解,加2-3滴溴酚藍指示劑。由于溶液呈黃色,于是加入氫氧化鈉溶液(1mol/L)至藍色,再滴加硝酸溶液(1mol/L)至恰呈黃色,并過量2-3滴。加入30mL95%乙醇溶液,裝上銀復合電極,用硝酸銀溶液(0.0106mol/L)進行滴定至終點。
空白實驗是向滴定杯中加入4mL硝酸溶液(1 mol/L),用氫氧化鈉溶液(1 mol/L)和pH電極調節溶液至中性,后續操作從“加2-3滴溴酚藍指示劑”開始,與試樣溶液同樣處理。
3.2 儀器參數
4 結果與討論
4.1 實驗結果
空白體積:4.259mL
計算公式:
式中:
X --為樣品含量(%);
V --為滴定樣品消耗硝酸銀溶液體積(mL);
V0 --為滴定空白消耗硝酸銀溶液體積(mL);
m --為樣品質量(g)。
c --為硝酸銀溶液的濃度(0.04mol/L);
35.45 --氯的相對摩爾質量(g/mol)。
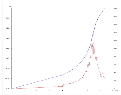
4.2 滴定譜圖
4.3 結論
本文實驗結果平行性良好,圖譜直觀明顯,符合方法中對于精密度的要求。
參考文獻
[1] HG/T2959-2010工業水合堿式碳酸鎂[S].
注意事項
由于滴定劑濃度偏小,圖譜在終點附近可能出現些許雜峰,建議通過“數據平滑”處理。三種樣品圖譜形狀類似,因此本報告僅提供了一張圖片。
