電位滴定法測定調味品中的酸值
1 前言
調味品中含有多種有機酸,利用氨基酸的兩性作用,加入甲醛以固定氨基的堿性,使羧基顯示出酸性,用氫氧化鈉標準溶液滴定,以電位滴定儀測定終點。
2 實驗部分
2.1 實驗試劑與儀器
T860全自動電位滴定儀;
甲醛溶液(36%):應不含聚合物;
氫氧化鈉標準滴定溶液C(NaOH)=0.05M;
純水。
2.2 實驗方法
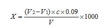
取10.0mL樣品,置于150mL燒杯中,加入70mL蒸餾水稀釋,開動磁力攪拌,攪拌均勻,用氫氧化鈉標準滴定液(0.05M)滴定,采用終點滴定模式,設置終點為pH 8.2,記下消耗的滴定劑的體積。根據公式計算:
其中:
X ----------酸值
V ----------取樣量
V ----------樣品滴定體積
V ----------樣品空白滴定體積
C ----------滴定液濃度
0.09 ----------計算系數
2.3儀器設定
參數設定:終點滴定
l 終點數:1
l 結束體積:10.000ml
l 終點pH:8.2
l 添加最小體積:0.005ml
l 初次添加體積:0.02ml
l 終點預控范圍:0.20pH
3 結果與分析
